Bihar Board Class 10th 2025 Mathematics 110 SetI 2025 Previous Year Papers

Here we have provided Previous Year Question Papers for Mathematics 110 SetI 2025 of 2025 for Class 10th students of Bihar Board of Secondary Education. There are various subjects in this year such as Mathematics 110 SetB 2025, Mathematics 110 SetF 2025, Mathematics 110 SetH 2025, Mathematics 110 SetI 2025, Mathematics 110 SetJ 2025, Science 112 SetD 2025, Science 112 SetE 2025, Science 112 SetG 2025, Science 112 SetJ 2025, Science 212 SetF 2025, Social Science 111 SetB 2025, Social Science 111 SetE 2025, Social Science 111 SetF 2025, Social Science 111 SetG 2025, Social Science 111 SetI 2025, Social Science 111 SetJ 2025, Social Science 211 SetG 2025, English 113 SetE 2025, English 113 SetG 2025, English 113 SetJ 2025, English 213 SetA 2025, Hindi (MT) 101 SetC 2025, Hindi (MT) 101 SetH 2025, Hindi (MT) 101 SetI 2025, Hindi (MT) 201 SetC 2025, Hindi (MT) 201 SetF 2025, Hindi (SIL) (NLH) 106 SetG 2025, Sanskrit (SIL) 105 SetB 2025, Sanskrit (SIL) 105 SetE 2025, Sanskrit (SIL) 105 SetH 2025 and Maithili (MT) 104 SetH 2025. Summary of the same is given below:

Board NameBihar Board of Secondary Education
ClassClass 10th
Content TypePrevious Year Question Papers
Previous Year Question Papers forClass 10th students
Year2025
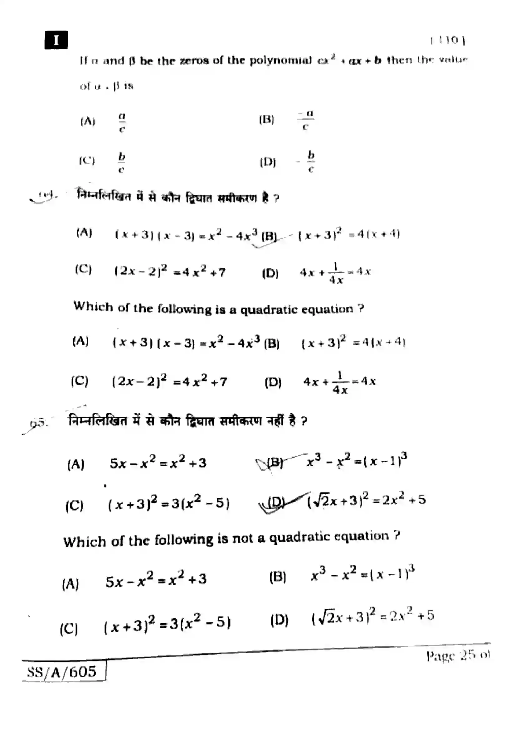
Subject NameMathematics 110 SetI 2025
Total Number of Subject in this Year31

Studying Bihar Board Class 10th 2025 Mathematics 110 SetI 2025 previous year papers will help you higher marks in this subject but you need to follow best practices to achieve higher marks, which are given after the content, go through them once.

Bihar Board Class 10th 2025 Mathematics 110 SetI 2025 Previous Year Papers

View the following previous year papers for Bihar Board Class 10th 2025 Mathematics 110 SetI 2025. These papers are available for viewing online.

Bihar Board Class 10th 2025 Mathematics  110  SetI  2025 Previous Year Paper 1
https://biharboardbook.com
Bihar Board Class 10th 2025 Mathematics  110  SetI  2025 Previous Year Paper 2
https://biharboardbook.com
Bihar Board Class 10th 2025 Mathematics  110  SetI  2025 Previous Year Paper 3
https://biharboardbook.com
Bihar Board Class 10th 2025 Mathematics  110  SetI  2025 Previous Year Paper 4
https://biharboardbook.com
Bihar Board Class 10th 2025 Mathematics  110  SetI  2025 Previous Year Paper 5
https://biharboardbook.com
Bihar Board Class 10th 2025 Mathematics  110  SetI  2025 Previous Year Paper 6
https://biharboardbook.com
Bihar Board Class 10th 2025 Mathematics  110  SetI  2025 Previous Year Paper 7
https://biharboardbook.com
Bihar Board Class 10th 2025 Mathematics  110  SetI  2025 Previous Year Paper 8
https://biharboardbook.com
Bihar Board Class 10th 2025 Mathematics  110  SetI  2025 Previous Year Paper 9
https://biharboardbook.com
Bihar Board Class 10th 2025 Mathematics  110  SetI  2025 Previous Year Paper 10
https://biharboardbook.com
Bihar Board Class 10th 2025 Mathematics  110  SetI  2025 Previous Year Paper 11
https://biharboardbook.com
Bihar Board Class 10th 2025 Mathematics  110  SetI  2025 Previous Year Paper 12
https://biharboardbook.com
Bihar Board Class 10th 2025 Mathematics  110  SetI  2025 Previous Year Paper 13
https://biharboardbook.com
Bihar Board Class 10th 2025 Mathematics  110  SetI  2025 Previous Year Paper 14
https://biharboardbook.com
Bihar Board Class 10th 2025 Mathematics  110  SetI  2025 Previous Year Paper 15
https://biharboardbook.com
Bihar Board Class 10th 2025 Mathematics  110  SetI  2025 Previous Year Paper 16
https://biharboardbook.com
Bihar Board Class 10th 2025 Mathematics  110  SetI  2025 Previous Year Paper 17
https://biharboardbook.com
Bihar Board Class 10th 2025 Mathematics  110  SetI  2025 Previous Year Paper 18
https://biharboardbook.com
Bihar Board Class 10th 2025 Mathematics  110  SetI  2025 Previous Year Paper 19
https://biharboardbook.com
Bihar Board Class 10th 2025 Mathematics  110  SetI  2025 Previous Year Paper 20
https://biharboardbook.com
Bihar Board Class 10th 2025 Mathematics  110  SetI  2025 Previous Year Paper 21
https://biharboardbook.com
Bihar Board Class 10th 2025 Mathematics  110  SetI  2025 Previous Year Paper 22
https://biharboardbook.com
Bihar Board Class 10th 2025 Mathematics  110  SetI  2025 Previous Year Paper 23
https://biharboardbook.com
Bihar Board Class 10th 2025 Mathematics  110  SetI  2025 Previous Year Paper 24
https://biharboardbook.com
Bihar Board Class 10th 2025 Mathematics  110  SetI  2025 Previous Year Paper 25
https://biharboardbook.com
Bihar Board Class 10th 2025 Mathematics  110  SetI  2025 Previous Year Paper 26
https://biharboardbook.com
Bihar Board Class 10th 2025 Mathematics  110  SetI  2025 Previous Year Paper 27
https://biharboardbook.com
Bihar Board Class 10th 2025 Mathematics  110  SetI  2025 Previous Year Paper 28
https://biharboardbook.com
Bihar Board Class 10th 2025 Mathematics  110  SetI  2025 Previous Year Paper 29
https://biharboardbook.com
Bihar Board Class 10th 2025 Mathematics  110  SetI  2025 Previous Year Paper 30
https://biharboardbook.com
Bihar Board Class 10th 2025 Mathematics  110  SetI  2025 Previous Year Paper 31
https://biharboardbook.com
Bihar Board Class 10th 2025 Mathematics  110  SetI  2025 Previous Year Paper 32
https://biharboardbook.com
Bihar Board Class 10th 2025 Mathematics  110  SetI  2025 Previous Year Paper 33
https://biharboardbook.com
Bihar Board Class 10th 2025 Mathematics  110  SetI  2025 Previous Year Paper 34
https://biharboardbook.com
Bihar Board Class 10th 2025 Mathematics  110  SetI  2025 Previous Year Paper 35
https://biharboardbook.com
Bihar Board Class 10th 2025 Mathematics  110  SetI  2025 Previous Year Paper 36
https://biharboardbook.com
Bihar Board Class 10th 2025 Mathematics  110  SetI  2025 Previous Year Paper 37
https://biharboardbook.com
Bihar Board Class 10th 2025 Mathematics  110  SetI  2025 Previous Year Paper 38
https://biharboardbook.com
Bihar Board Class 10th 2025 Mathematics  110  SetI  2025 Previous Year Paper 39
https://biharboardbook.com
Bihar Board Class 10th 2025 Mathematics  110  SetI  2025 Previous Year Paper 40
https://biharboardbook.com
Bihar Board Class 10th 2025 Mathematics  110  SetI  2025 Previous Year Paper 41
https://biharboardbook.com
Bihar Board Class 10th 2025 Mathematics  110  SetI  2025 Previous Year Paper 42
https://biharboardbook.com
Bihar Board Class 10th 2025 Mathematics  110  SetI  2025 Previous Year Paper 43
https://biharboardbook.com

All Bihar Board Class 10th 2025 Mathematics 110 SetI 2025 Previous Year Question Papers on this page can be viewed free of cost. Follow the best practices given after the content to achieve higher marks.

How to achieve higher marks in Bihar Board Class 10th 2025:

How to download Bihar Board Class 10th 2025 Mathematics 110 SetI 2025 Previous Year Question Papers

  1. Visit https://biharboardbook.com
  2. Home page of Bihar Board Book will be loaded. Here select Previous Year Papers from the navigation bar at top.
  3. List of classes will be loaded. Now select the class which is relevant for you – in this case we will select Class 10th from this list.
  4. List of years will display here. Now select the year – here we will select 2025 (you can choose any year which is relevant for you).
  5. List of subjects will start displaying here for 2025 for Class 10th students of Bihar Board. Now select the subject. We will select Mathematics 110 SetI 2025 in this case; you can opt based on your requirements.
  6. Previous Year Question Papers for Class 10th 2025 of Bihar Board for Mathematics 110 SetI 2025 will load here. If you are on desktop, right-click and save the image. If you are on mobile, long-press the image to save it. This will download the content.

Other Subjects of 2025

Browse other subjects of Bihar Board Class 10th 2025 Previous Year Papers. Click on any subject below to view its content.

Continue Your Bihar Board Class 10th Exam Preparation

Continue your exam preparation by exploring other resources. Combine these papers with our other resources like Bihar Board Books, Solutions, and Revision Notes for a complete and effective preparation strategy.

If you have any questions or need assistance, feel free to contact us. We're here to help you succeed in your Bihar Board examinations.