Bihar Board Class 12th 2017 Physics 2017 Previous Year Papers

Here we have provided Previous Year Question Papers for Physics 2017 of 2017 for Class 12th students of Bihar Board of Secondary Education. There are various subjects in this year such as Mathematics 2017, Physics 2017, Chemistry 2017 and Biology 2017. Summary of the same is given below:

Board NameBihar Board of Secondary Education
ClassClass 12th
Content TypePrevious Year Question Papers
Previous Year Question Papers forClass 12th students
Year2017
Subject NamePhysics 2017
Total Number of Subject in this Year4

Studying Bihar Board Class 12th 2017 Physics 2017 previous year papers will help you higher marks in this subject but you need to follow best practices to achieve higher marks, which are given after the content, go through them once.

Bihar Board Class 12th 2017 Physics 2017 Previous Year Papers

View the following previous year papers for Bihar Board Class 12th 2017 Physics 2017. These papers are available for viewing online.

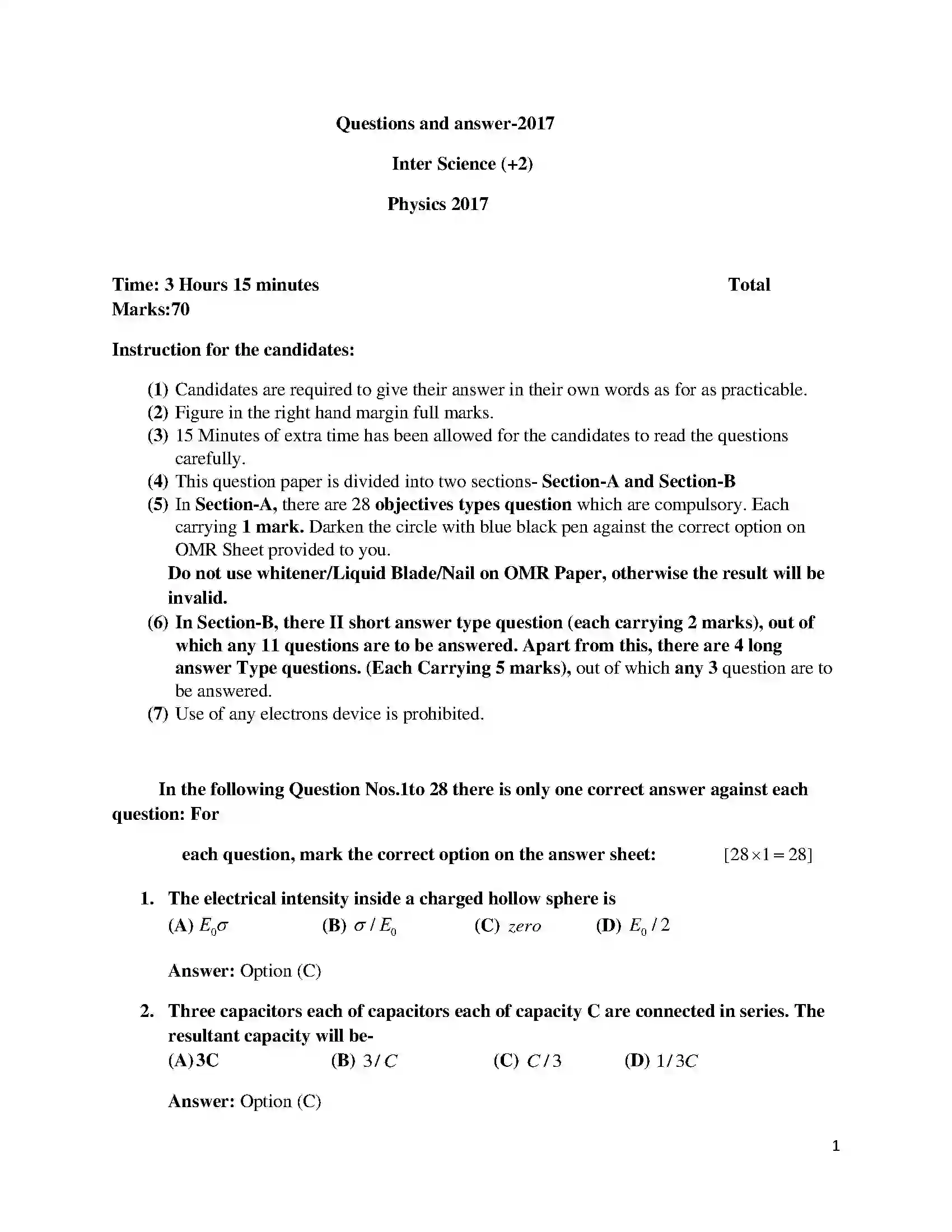
Bihar Board Class 12th 2017 Physics  2017 Previous Year Paper 1
https://biharboardbook.com
Bihar Board Class 12th 2017 Physics  2017 Previous Year Paper 2
https://biharboardbook.com
Bihar Board Class 12th 2017 Physics  2017 Previous Year Paper 3
https://biharboardbook.com
Bihar Board Class 12th 2017 Physics  2017 Previous Year Paper 4
https://biharboardbook.com
Bihar Board Class 12th 2017 Physics  2017 Previous Year Paper 5
https://biharboardbook.com
Bihar Board Class 12th 2017 Physics  2017 Previous Year Paper 6
https://biharboardbook.com
Bihar Board Class 12th 2017 Physics  2017 Previous Year Paper 7
https://biharboardbook.com
Bihar Board Class 12th 2017 Physics  2017 Previous Year Paper 8
https://biharboardbook.com
Bihar Board Class 12th 2017 Physics  2017 Previous Year Paper 9
https://biharboardbook.com
Bihar Board Class 12th 2017 Physics  2017 Previous Year Paper 10
https://biharboardbook.com
Bihar Board Class 12th 2017 Physics  2017 Previous Year Paper 11
https://biharboardbook.com
Bihar Board Class 12th 2017 Physics  2017 Previous Year Paper 12
https://biharboardbook.com
Bihar Board Class 12th 2017 Physics  2017 Previous Year Paper 13
https://biharboardbook.com
Bihar Board Class 12th 2017 Physics  2017 Previous Year Paper 14
https://biharboardbook.com
Bihar Board Class 12th 2017 Physics  2017 Previous Year Paper 15
https://biharboardbook.com

All Bihar Board Class 12th 2017 Physics 2017 Previous Year Question Papers on this page can be viewed free of cost. Follow the best practices given after the content to achieve higher marks.

How to achieve higher marks in Bihar Board Class 12th 2017:

How to download Bihar Board Class 12th 2017 Physics 2017 Previous Year Question Papers

  1. Visit https://biharboardbook.com
  2. Home page of Bihar Board Book will be loaded. Here select Previous Year Papers from the navigation bar at top.
  3. List of classes will be loaded. Now select the class which is relevant for you – in this case we will select Class 12th from this list.
  4. List of years will display here. Now select the year – here we will select 2017 (you can choose any year which is relevant for you).
  5. List of subjects will start displaying here for 2017 for Class 12th students of Bihar Board. Now select the subject. We will select Physics 2017 in this case; you can opt based on your requirements.
  6. Previous Year Question Papers for Class 12th 2017 of Bihar Board for Physics 2017 will load here. If you are on desktop, right-click and save the image. If you are on mobile, long-press the image to save it. This will download the content.

Other Subjects of 2017

Browse other subjects of Bihar Board Class 12th 2017 Previous Year Papers. Click on any subject below to view its content.

Continue Your Bihar Board Class 12th Exam Preparation

Continue your exam preparation by exploring other resources. Combine these papers with our other resources like Bihar Board Books, Solutions, and Revision Notes for a complete and effective preparation strategy.

If you have any questions or need assistance, feel free to contact us. We're here to help you succeed in your Bihar Board examinations.