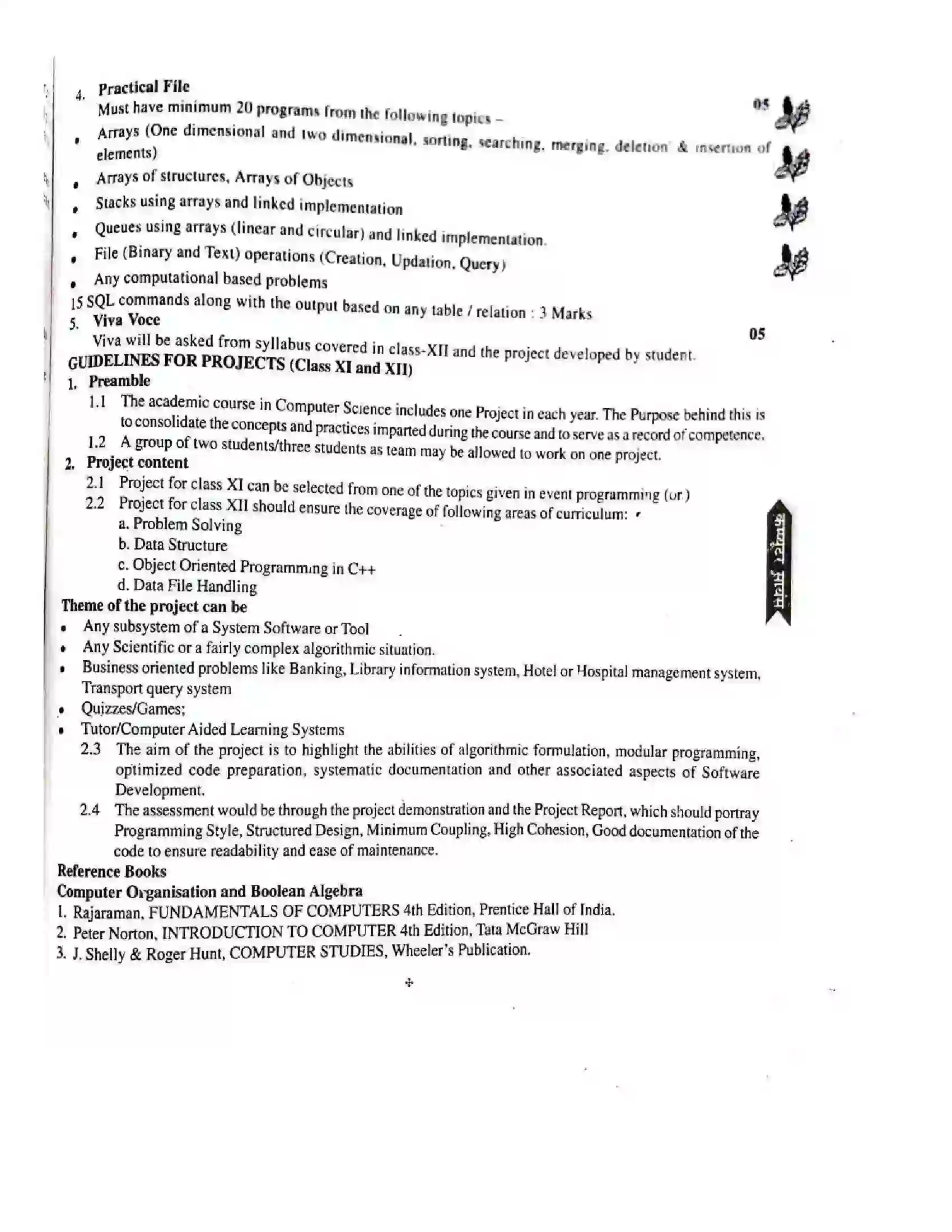
Bihar Board Class 12th 2025-26 Computer Science Syllabus

Welcome to Bihar Board Class 12th 2025-26 Computer Science Syllabus at BiharBoardBook. We provide free access to the latest and officially updated Bihar School Examination Board (BSEB) syllabus for Computer Science subject from 2025-26.

Bihar Board Class 12th 2025-26 Computer Science Syllabus

View the following syllabus for Bihar Board Class 12th 2025-26 Computer Science. This syllabus is available for viewing online.

Bihar Board Class 12th 2025-26 Computer Science Syllabus 1
https://biharboardbook.com
Bihar Board Class 12th 2025-26 Computer Science Syllabus 2
https://biharboardbook.com
Bihar Board Class 12th 2025-26 Computer Science Syllabus 3
https://biharboardbook.com
Bihar Board Class 12th 2025-26 Computer Science Syllabus 4
https://biharboardbook.com
Bihar Board Class 12th 2025-26 Computer Science Syllabus 5
https://biharboardbook.com

Our Bihar Board Class 12th 2025-26 Computer Science Syllabus section provides the latest and officially updated BSEB syllabus for Computer Science subject from 2025-26. Having a clear syllabus ensures focused preparation and prevents wasting time on unnecessary topics.

By following the Bihar Board syllabus, learners can prepare with clarity, stay aligned with exam requirements, and approach their exams with confidence. All materials are available for viewing completely free of cost.

Other Subjects of 2025-26

Browse other subjects of Bihar Board Class 12th 2025-26 Syllabus. Click on any subject below to view its content.

Continue Your Bihar Board Class 12th Exam Preparation

Continue your exam preparation by exploring other resources. Combine this syllabus with our other resources like Bihar Board Books, Solutions, and Previous Year Papers for a complete and effective preparation strategy.

If you have any questions or need assistance, feel free to contact us. We're here to help you succeed in your Bihar Board examinations.