Bihar Board Class 12th 2025-26 Chemistry Syllabus

Here we have provided Syllabus for Chemistry of 2025-26 for Class 12th students of Bihar Board of Secondary Education. There are various subjects in this year such as English Language, Hindi, Maths, Physics, Chemistry, Biology, Accountancy, Economics, History, Geography, Sociology, Business Studies, Computer Science, Home Science, Philosophy, Psychology, Political Science, Entrepreneurship, Sanskrit, Urdu, Arabic and Persian. Summary of the same is given below:

Board NameBihar Board of Secondary Education
ClassClass 12th
Content TypeSyllabus
Syllabus forClass 12th students
Year2025-26
Subject NameChemistry
Total Number of Subject in this Year22

Studying Bihar Board Class 12th 2025-26 Chemistry syllabus will help you higher marks in this subject but you need to follow best practices to achieve higher marks, which are given after the content, go through them once.

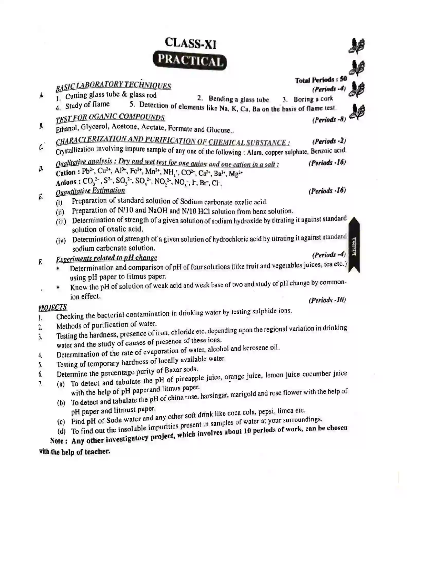
Bihar Board Class 12th 2025-26 Chemistry Syllabus

View the following syllabus for Bihar Board Class 12th 2025-26 Chemistry. This syllabus is available for viewing online.

Bihar Board Class 12th 2025-26 Chemistry Syllabus 1
https://biharboardbook.com
Bihar Board Class 12th 2025-26 Chemistry Syllabus 2
https://biharboardbook.com
Bihar Board Class 12th 2025-26 Chemistry Syllabus 3
https://biharboardbook.com
Bihar Board Class 12th 2025-26 Chemistry Syllabus 4
https://biharboardbook.com
Bihar Board Class 12th 2025-26 Chemistry Syllabus 5
https://biharboardbook.com
Bihar Board Class 12th 2025-26 Chemistry Syllabus 6
https://biharboardbook.com
Bihar Board Class 12th 2025-26 Chemistry Syllabus 7
https://biharboardbook.com
Bihar Board Class 12th 2025-26 Chemistry Syllabus 8
https://biharboardbook.com

All Bihar Board Class 12th 2025-26 Chemistry Syllabus on this page can be viewed free of cost. Follow the best practices given after the content to achieve higher marks.

How to achieve higher marks in Bihar Board Class 12th 2025-26:

How to download Bihar Board Class 12th 2025-26 Chemistry Syllabus

  1. Visit https://biharboardbook.com
  2. Home page of Bihar Board Book will be loaded. Here select Syllabus from the navigation bar at top.
  3. List of classes will be loaded. Now select the class which is relevant for you – in this case we will select Class 12th from this list.
  4. List of years will display here. Now select the year – here we will select 2025-26 (you can choose any year which is relevant for you).
  5. List of subjects will start displaying here for 2025-26 for Class 12th students of Bihar Board. Now select the subject. We will select Chemistry in this case; you can opt based on your requirements.
  6. Syllabus for Class 12th 2025-26 of Bihar Board for Chemistry will load here. If you are on desktop, right-click and save the image. If you are on mobile, long-press the image to save it. This will download the content.

Other Subjects of 2025-26

Browse other subjects of Bihar Board Class 12th 2025-26 Syllabus. Click on any subject below to view its content.